选择文字
要对文字的某部分进行编辑操作,如更改字体、调整行间距以及复制、剪切、移动等操作,首先需要选定文字内容。
一般的文字选择方法
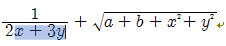
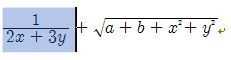
在选定文字的开始处,按住鼠标左键不放并拖动到结束处松开即可。若开始处和结束处涉及到一个公式对象,则系统可能进行适当的调整,使得选定文字的开始处和结束处始终位于同一个文字层(公式可能是嵌套的多层文字)。请参考如下的实例:
-
将插入点设置到字符“2”之后,按住鼠标左键移动光标到“3y”之后,可以看到已经选择了“x+3y”部分。这里没有发生任何调整。

-
继续移动光标到根式前方的“+”之后,起点自动跳出分式并与动点构成新的选择区域。这里,EduStudio 对开始处进行了调整。

-
继续移动光标到根式内部之后,整行内容将处于选择状态。这里,EduStudio 对结束处进行了调整。

除此之外,使用鼠标还可以进行如下文字的选定操作:
-
选定单词
在要选定的单句任意位置,双击鼠标左键即可选中该单词。单词一般以逗号、空格、括号等为界,因此对于中文来说被选定的内容经常是一个句子。 -
选定一行
将光标移到文字行的左侧,此时光标形状变为右倾斜的箭头(指向右上角) ,单击鼠标左键即可选定该行。 -
选定段落
将光标置于段落左侧的空白区,双击鼠标左键即可。
用键盘选择
用户也可以纯靠键盘来选择文字,有如下几种方法:
用户也可以纯靠键盘来选择文字,有如下几种方法:
-
Shift + 方向键
将光标定位到需要选定的文本的开始处,然后按住 Shift 键并按“上下”或“左右”箭头,开始处和当前插入符之间的文字将被选择。 -
Shift + Home
在当前插入符所在的段落内,选定插入符之前的文字内容。 -
Shift + End
在当前插入符所在的段落内,选定插入符之后的文字内容。 -
Ctrl + Shift + Home
在当前插入符所在的单元格(含框架单元格)内,选定插入符之前的所有文字内容。 -
Ctrl + Shift + End
在当前插入符所在的单元格(含框架单元格)内,选定插入符之后的所有文字内容。
鼠标和键盘配合选择
将插入点定位到要选择的文本开始处,然后按住 Shift 键并用鼠标点击结束处即可。此操作经常用于选定跨页的较多文字内容的时候使用。若所要选择的文本较长,可在完成插入符定位后滚动视图到任何需要的位置,然后再用鼠标确定结束位置。
使用菜单命令选择
若要选择整个文档、单元格内的所有内容或段落等等,可通过“编辑”菜单下的“选择”相关子菜单项来完成。通过此方法可以选择表格、单元格、段落等内容。
将插入点定位到要选择的文本开始处,然后按住 Shift 键并用鼠标点击结束处即可。此操作经常用于选定跨页的较多文字内容的时候使用。若所要选择的文本较长,可在完成插入符定位后滚动视图到任何需要的位置,然后再用鼠标确定结束位置。
使用菜单命令选择
若要选择整个文档、单元格内的所有内容或段落等等,可通过“编辑”菜单下的“选择”相关子菜单项来完成。通过此方法可以选择表格、单元格、段落等内容。
其他说明
在 EduStudio
中,“全选”的含义可能和其他传统字处理软件有所不同。 EduStudio 中文字必须位于表格或框架表格内,“全选”指的就是全部选定当前拥有插入符的表格内所有单元格。但若插入符位于框架表格内,且框架表格只有这么一个单元格,则“全选”操作选定的是框架单元格内的所有文字内容。如果用户以默认形式不再增加或分割框架单元格,那么“全选”的作用就和其他字处理软件相一致了。
当要对单一段落赋予属性时,不要求一定选择该段落内的所有文字,只需将插入符置于该段落内的任何位置即可。若要对多个段落赋予属性,只要段落中的文字全部或部分包含在已选定文本区内即可。
文档最后更新时间:2025-12-18 16:29:45
← 段落与行 文本的复制、剪切、粘贴和删除 →